用户名: 密码:  用户登录   新用户注册  忘记密码  账号激活
您的位置:教学资源网 >> 试卷 >> 数学试卷
高中数学编辑
广东省中山市10-11学年高二上学期期末统一考试试卷(数学文)
下载扣金币方式下载扣金币方式
需消耗6金币 立即下载
3个贡献点 立即下载
3个黄金点 立即下载
VIP下载通道>>>
提示:本自然月内重复下载不再扣除金币
  • 资源类别试卷
    资源子类期中期末
  • 教材版本人教A版(现行教材)
    所属学科高中数学
  • 适用年级高二年级
    适用地区新课标地区
  • 文件大小337 K
    上传用户Stephen
  • 更新时间2011/1/21 19:16:27
    下载统计今日0 总计19
  • 评论(0)发表评论  报错(0)我要报错  收藏
1
0
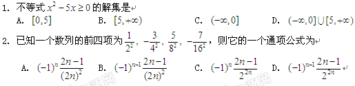
资源简介

相关资源高级搜索
  • 暂时没有相关评论

请先登录网站关闭

  忘记密码  新用户注册